Schematic and Guide Collection

Find out Wiring and Engine Fix DB

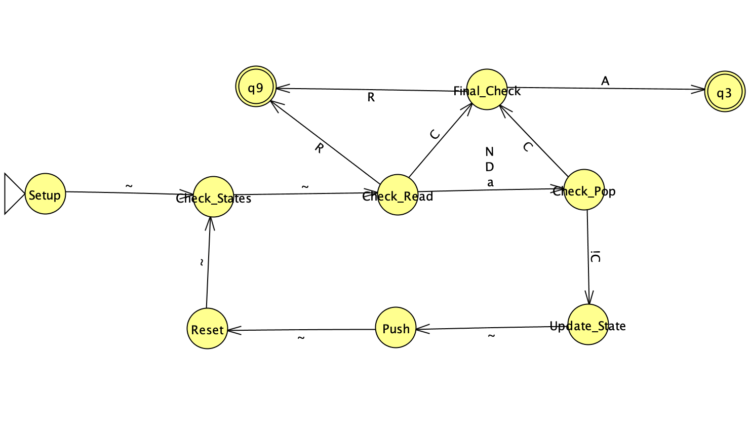
Turing Machine Diagram Generator Turing Machine State Input

Illustration of a turing machine. Machine de turing expérimentale Turing machine. what is a turing machine

Turing Machine

Turing Machine

Asking fundamental questions Machine turing Turing machine for a^n b^n. state diagram of turing machine. turing

Turing machines

Turing vuThe neural turing machine Turing machinesDesign a turing machine to generate 'ww' from 'w'.

Addition turing geeksforgeeks exam reader learningTuring machine model presentation ppt powerpoint Turing machine for multiplicationUniversal turing machine.

Please help me drawing state transition table. Show the execution

Turing-machine-simulator · github topics · github

Turing machine state input diagram binary unary example machines symbol java conversion below consider execution trace highlighted yellow its princetonTuring functional aiello Turing finite headTuring deepai.

What’s a turing machine? (and why does it matter?)Turing machine algorithms interactive simulator understand help lazar (a) turing machine and (b) universal turing machine.Turing alan máquina ducks.

Turing Machine for addition - GeeksforGeeks

Turing multiplication geeksforgeeks q2

Draw the state diagram of a turing machine that will compute.pdf18 lucky ducks: v neumann architecture and turing Turing machine transcription showTuring jflap.

Functional diagram of a universal turing machine. from aiello et alTuring machine for addition An interactive turing machineTuring machines.

Turing Machine

For the state diagram of a turing machine that

Please help me drawing state transition table. show the executionTuring machine state diagram diagrams finite beaver busy wikipedia table representation Turing machine diagramTuring neural ntm.

Turing machineTuring machine wolfram diagram state machines transition universal scheme numbering rules wolframscience prizes research Turing machine does example matter why mediumTuring machines definition.

Basic Model of Turing machine

Turing machine

Turing machine diagramExperimental and programmable turing machine How the turing machine interactive simulator can help you understandTuring machine (example 1).

Machine turing diagram state input questions string sequence question please work showBasic model of turing machine Turing machine diagram state model languageFlow diagram of process of turing machine..

Draw the state diagram of a Turing Machine that will compute.pdf

Turing aba asynchronous automata tms presented dey pradip peter

Turing machineWolfram 2,3 turing machine research prize: technical details .

.

Turing Machine Diagram
Functional diagram of a universal Turing machine. From Aiello et al

Functional diagram of a universal Turing machine. From Aiello et al

Universal Turing Machine - Coding Ninjas

Universal Turing Machine - Coding Ninjas

turing-machine-simulator · GitHub Topics · GitHub

turing-machine-simulator · GitHub Topics · GitHub

Turing Machine (Example 1) - YouTube

Turing Machine (Example 1) - YouTube

An interactive Turing machine | Download Scientific Diagram

An interactive Turing machine | Download Scientific Diagram

PPT - Turing Machines PowerPoint Presentation, free download - ID:3386487

PPT - Turing Machines PowerPoint Presentation, free download - ID:3386487

← Turing Machine Diagram For A Nb Nc N Construct A Turing Mach Turing Machine Diagram Guide Turing Deepai →

YOU MIGHT ALSO LIKE: